欢迎光临武威职业学院 招生就业处! 今天是:
返回学院首页
加入收藏
设为首页
招生就业处(合作教育办公室)
部门首页
招生动态
招生政策
招生简章
招生计划
网站公告
考生问答
专业介绍
印象武威
图片链接
更多>>
网站公告
07-27
178体育app官网2025年高职(专科)报考指南
03-27
武威职业学院2024年综合评价招生简章
03-27
武威职业学院2024年招生简章
03-26
武威职业学院重点专业招生简章
10-10
关于举办首届全国大学生职业规划大赛 武威职业学…
11-18
178体育app官网2026届毕业生网签操作指南
04-14
武威职业学院2025年中高职贯通培养转段拟录取学生名…
热点文章
02-26
兰州资源环境职业技术大学2025年高职(专科)升…
09-15
优化专业录取结构,深化办学内涵建设 学校高质…
07-27
178体育app官网2025年高职(专科)报考指南
03-07
学校招生工作委员会召开2025年第一次工作会议
06-19
新高考100问| 志愿填报攻略(四)
您现在的位置:
首页
>
招生就业处(合作教育办公室)
>
招生动态
>
正文
招生动态
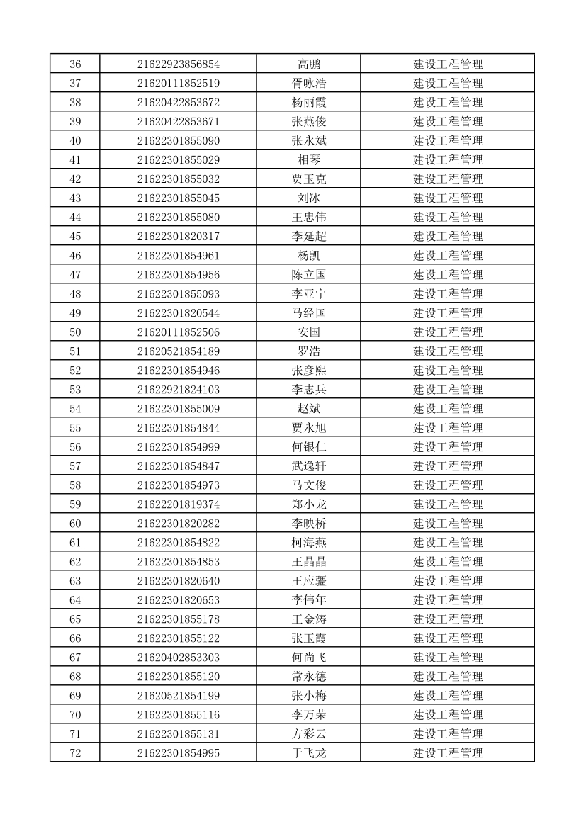
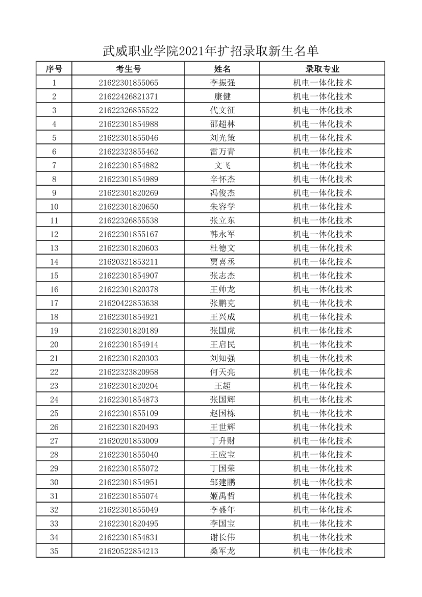
武威职业学院2021年扩招录取新生名单
作者:
来源:
发布时间:2021年11月12日
点击数:5,468
次
字号:【
小
中
大
】
[打印文章]
[添加收藏]
上一篇:
武威职业学院关于2021级新生推迟开学报到的通知
[ 08-18 ]
下一篇:
武威职业学院2021年高职扩招新生入学须知
[ 11-12 ]